Ученые ищут новые места для промысла в Сибири
Сотрудники Красноярского филиала ВНИРО исследовали рыбные запасы одного из крупных притоков Енисея — реки Кас. Специалисты оценили структурно-биологические параметры промысловых видов, а также состав их паразитофауны.
Cнизить пресс на запасы ценных видов рыб могут не только ограничения на добычу, но и частичное смещение промысла из магистральной части Енисея в его притоки, сообщили Fishnews в пресс-службе Всероссийского НИИ рыбного хозяйства и океанографии.
В институте подчеркнули, что особое значение при таких ресурсных исследованиях имеет оценка безопасности рыбной продукции.
Кас является частью Обь-Енисейского водного пути, обеспечивающего транзит между бассейнами двух крупнейших речных систем Сибири — Оби и Енисея. По мнению ученых, Кас — одна из перспективных акваторий для промысла. До настоящего времени река была практически не изучена в рыбохозяйственном отношении.
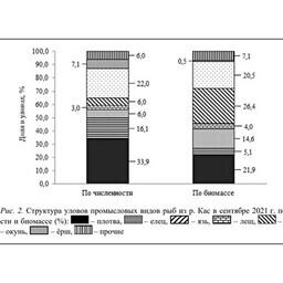
Согласно первым результатам, в Касе преобладают карповые виды рыб, а также окунь и щука. Возбудителей опасных заболеваний у исследованных рыб не нашли, рассказали Fishnews в пресс-службе ВНИРО.
Дополнительные комплексные ихтиологические, гидробиологические и паразитологические работы позволят дать точную оценку безопасности рыбопродукции для человека.
Читайте также: ВНИРО помогает восстанавливать запасы сиговых Сибири
Больше новостей читайте в телеграм-канале Fishnews.
Fishnews


